로그함수

(a>0, a는 1이 아닐때) 같는 성질에 대한 함수 표현이 있습니다.
임의의 양수 X,Y 에 대하여
(1) 로그끼리 더하면
f(xy) = f(x) + f(y)

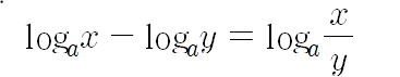
(2) 로그끼리 빼면
f(x/y) = f(x) - f(y)

(3) 로그의 성질을 이용해서
f(x^n) = nf(x)

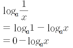
(4) 유도과정
f(1/x) = -f(x)

(5)유도 과정
f(ax) = 1+f(x)

(6)그자체
f(1) = 0

| 수열의 합, 알아두면 쓸데없지만 편한 풀이 (0) | 2020.02.17 |
|---|---|
| 호도법 (7) | 2020.01.08 |
| 뭐 게임제작의 기본? 2D 벡터의 회전변환 공식 (0) | 2019.12.11 |
댓글 영역